Pročitajte ko su najveći poreski dužnici u FBiH
Poreska uprava Federacije BiH objavila je početkom ovog mjeseca novi spisak najvećih dužnika u ovom entitetu.
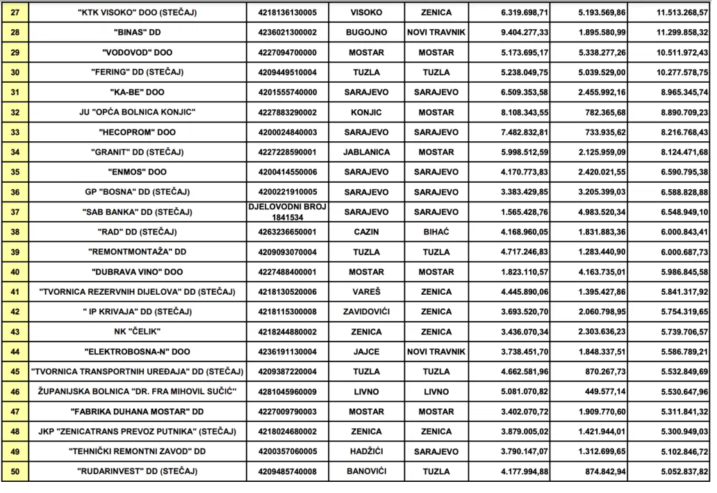
Riječ je o tabelarnom pregledu poreznih obveznika s iznosom duga po osnovu poreza, doprinosa, taksi i drugih naknada preko 50.000 KM na dan 30. septembar 2024. godine. Ima ih čak 5109.
Željeznice FBIH na prvom mjestu
Pojedinačno gledano, na prvom mjestu su JP “Željeznice FBiH” s dugom od 161,7 miliona KM. No, ako bi se sabrali dugovi svih rudnika koji posluju u okviru Koncerna Elektroprivrede BiH, ovaj koncern bio bi ubjedljivo najveći dužnik.
Naime, na drugom mjestu pojedinačnih dužnika su rudnici “Kreka” Tuzla s oko 160 miliona KM duga, a slijede rudnik “Zenica” s dugom od 140,6 miliona maraka, te rudnik “Breza” s dugom od 125,6 miliona,
Sljedeća na listi je “Sveučilišna klinička bolnica” Mostar s dugom od 115,1 miliona KM a slijedi KJKP “GRAS” Sarajevo (112,8 miliona).
Na sedmom mjestu je rudnik “Kakanj” s dugom od 102,8 miliona, a na osmom Hidrogradnja koja duguje 66,6 miliona maraka.
Listu od deset najvećih dužnika zatvaraju još jedan rudnik, “Abid Lolić” Novi Travnik (48,8 miliona KM), te Željezara Zenica u stečaju sa 46,6 miliona.
Na listi više od pet hiljada preduzeća
Svi spomenuti rudnici posluju u okviru Koncerna Elektroprivrede BiH. To znači da, kada se njihov dug sabere, ovaj Koncern je ubjedljivo najveći poreski dužnik u Federaciji BiH.
Inače, na listi je ukupno 5.109 preduzeća koja duguju ukupno 2,67 milijardi maraka, od čega su oko dvije milijarde glavnica, a ostatak se odnosi na kamate.



